灭火剂用量估算:
跟纸张有关的防护区,每立方米七氟丙烷用量为0.86kg;
跟强电有关的防护区,每立方米七氟丙烷用量为0.75kg
跟弱电有关的防护区,每立方米七氟丙烷用量为0.66kg
泄压面积估算:
防护区泄压口面积 =0.00054*防护区药剂用量。
如一个100立方米的计算机房,七氟丙烷药剂用量 = 100*0.66 = 66kg。
泄压面积 = 0.000355*100 = 0.0355 ≈ 0.04平方米
或
泄压面积 = 0.00054 * 66 = 0.0356 ≈ 0.04平方米
以上值仅供参考,方便临时估算。实际用量应严格按照气体灭火系统设计规范计算。
数据怎么来的?有时间可以往下看。
根据《气体灭火系统设计规范》GB50370-2005
图书、档案、票据和文物资料库等防护区,灭火设计浓度宜采用10%。
油浸变压器室、带油开关的配电室和自备发电机房等防护区,灭火设计浓度宜采用9%。
通讯机房和电子计算机房等防护区,灭火设计浓度宜采用8%。

存放图书、档案等跟纸张、磁带、光盘等有关的防护区,以100立方米的防护区,海拔系数为0,钢瓶剩余量为3公斤计算,则100立方米需要85公斤的药剂。折算后,每立方米需要0.85公斤七氟丙烷。
发电机房、配电室、UPS间等防护区以100立方米的防护区,海拔系数为0,钢瓶剩余量为3公斤计算,则100立方米需要76公斤的药剂。折算后,每立方米需要0.76公斤七氟丙烷。
计算机房、微机房等防护区的以100立方米的防护区,海拔系数为0,钢瓶剩余量为2公斤计算,则100立方米需要66公斤的药剂。折算后,每立方米需要0.66公斤七氟丙烷。
根据《气体灭火系统设计规范》 GB50370-2005
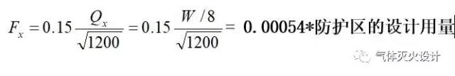
3.3.13 防护区的泄压口面积,宜按下式计算:

式中 Fx——泄压口面积(m2);
Qx——灭火剂在防护区的平均喷放速率(kg/s);
Pf——围护结构承受内压的允许压强(Pa)。
根据规范3.2.6 防护区围护结构承受内压的允许压强,不宜低于1200Pa
Pf 取值一般为1200。
防护区的平均喷放速率Qx= 设计用量 / 喷射时间。
设计用量根据防护区的用途和体积计算确定(用途不同,设计浓度不同,设计用量不同。
喷放时间按规范条文3.3.7确定。
3.3.7在通讯机房和电子计算机房等防护区,设计喷放时间不应大于8s;在其它防护区,设计喷放时间不应大于10s。
防护区的平均喷放速率Qx= 设计用量(KG) / 喷射时间(s)
喷放时间8至10秒,按最小的8秒取值。
则泄压口的计算公式如下:

注:本文为气体灭火设计(公众号:qitimiehuosheji)原创,转载请注明处出。